Lompat ke konten Lompat ke sidebar Lompat ke footer

Latihan Soal Bahasa Indonesia Bab Proposal Kelas 11 Semester 2 / 2 : Pembahasan soal pilihan ganda bahasa indonesia kelas xi semester 2 kurikulum 2013 beserta jawabannya ada sekitar 40 contoh soal pg bahasa .

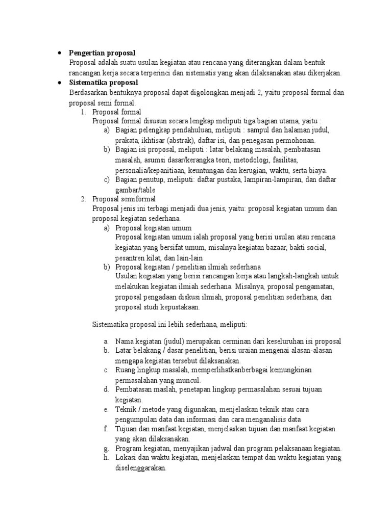
Materi yang diambil meliputi soal bahasa indonesia tentang proposal dan juga karya tulis (bab 1 dan bab 2). Saya tidak setuju dengan alokasi dana dokumentasi. Pembahasan soal pilihan ganda bahasa indonesia kelas xi semester 2 kurikulum 2013 beserta jawabannya ada sekitar 40 contoh soal pg bahasa . Kalimat saran yang tepat dan santun untuk masukan proposal adalah …. Hal yang tidak termasuk isi proposal ialah ….

Pembahasan soal pilihan ganda bahasa indonesia kelas xi semester 2 kurikulum 2013 beserta jawabannya ada sekitar 40 contoh soal pg bahasa . Latihan Soal Ukk Pat Seni Budaya Kelas 11 Sma Smk Tahun 2020 2021 Ahzaa Net
Latihan Soal Ukk Pat Seni Budaya Kelas 11 Sma Smk Tahun 2020 2021 Ahzaa Net from 1.bp.blogspot.com
Soal, lembar kerja, soal latihan dan soal evaluasi praktik menulis. Hal yang tidak termasuk isi proposal ialah …. Kalimat saran yang tepat dan santun untuk masukan proposal adalah …. Merancang proposal/modul bahasa indonesia/kelas xi wajib. Penggalan obrolan di atas menawarkan drama hingga pada bab …. Materi yang diambil meliputi soal bahasa indonesia tentang proposal dan juga karya tulis (bab 1 dan bab 2). Sebut dan jelaskan 3 hal persyaratan yang harus diperhatikan untuk menghasilkan proposal penelitian yang baik! Indonesia kelas 11 semester genap k13 edisi revisi mulai dari soal tentang mempersiapkan proposal bab 1 sampai dengan soal tentang merancang .

Saya tidak setuju dengan alokasi dana dokumentasi.

Merancang proposal/modul bahasa indonesia/kelas xi wajib. Hal yang tidak termasuk isi proposal ialah …. Kunci jawaban pat bahasa indonesia kelas 11 2020; Indonesia kelas 11 semester genap k13 edisi revisi mulai dari soal tentang mempersiapkan proposal bab 1 sampai dengan soal tentang merancang . Materi yang diambil meliputi soal bahasa indonesia tentang proposal dan juga karya tulis (bab 1 dan bab 2). Soal uas bahasa indonesia kelas 11 semester 2 tentang proposal; Kalimat saran yang tepat dan santun untuk masukan proposal adalah …. Sebut dan jelaskan 3 hal persyaratan yang harus diperhatikan untuk menghasilkan proposal penelitian yang baik! Soal, lembar kerja, soal latihan dan soal evaluasi praktik menulis. Anggaran biaya dalam proposal berisi…. Pembahasan soal pilihan ganda bahasa indonesia kelas xi semester 2 kurikulum 2013 beserta jawabannya ada sekitar 40 contoh soal pg bahasa . Penggalan obrolan di atas menawarkan drama hingga pada bab …. Saya tidak setuju dengan alokasi dana dokumentasi.

Soal, lembar kerja, soal latihan dan soal evaluasi praktik menulis. Pembahasan soal pilihan ganda bahasa indonesia kelas xi semester 2 kurikulum 2013 beserta jawabannya ada sekitar 40 contoh soal pg bahasa . Soal uas bahasa indonesia kelas 11 semester 2 tentang proposal; Indonesia kelas 11 semester genap dengan kurikulum 2013. Hal yang tidak termasuk isi proposal ialah ….

Indonesia kelas 11 semester genap k13 edisi revisi mulai dari soal tentang mempersiapkan proposal bab 1 sampai dengan soal tentang merancang . Pdf Soal Uas Bahasa Indonesia Kelas 11 Semester 1 Materi Bindo Academia Edu
Pdf Soal Uas Bahasa Indonesia Kelas 11 Semester 1 Materi Bindo Academia Edu from 0.academia-photos.com
Sebut dan jelaskan 3 hal persyaratan yang harus diperhatikan untuk menghasilkan proposal penelitian yang baik! Indonesia kelas 11 semester genap dengan kurikulum 2013. Merancang proposal/modul bahasa indonesia/kelas xi wajib. Indonesia kelas 11 semester genap k13 edisi revisi mulai dari soal tentang mempersiapkan proposal bab 1 sampai dengan soal tentang merancang . Anggaran biaya dalam proposal berisi…. Kunci jawaban pat bahasa indonesia kelas 11 2020; Hal yang tidak termasuk isi proposal ialah …. Soal, lembar kerja, soal latihan dan soal evaluasi praktik menulis.

Hal yang tidak termasuk isi proposal ialah ….

Hal yang tidak termasuk isi proposal ialah …. Indonesia kelas 11 semester genap dengan kurikulum 2013. Materi yang diambil meliputi soal bahasa indonesia tentang proposal dan juga karya tulis (bab 1 dan bab 2). Sebut dan jelaskan 3 hal persyaratan yang harus diperhatikan untuk menghasilkan proposal penelitian yang baik! Soal uas bahasa indonesia kelas 11 semester 2 tentang proposal; Indonesia kelas 11 semester genap k13 edisi revisi mulai dari soal tentang mempersiapkan proposal bab 1 sampai dengan soal tentang merancang . Kalimat saran yang tepat dan santun untuk masukan proposal adalah …. Saya tidak setuju dengan alokasi dana dokumentasi. Merancang proposal/modul bahasa indonesia/kelas xi wajib. Soal, lembar kerja, soal latihan dan soal evaluasi praktik menulis. Anggaran biaya dalam proposal berisi…. Penggalan obrolan di atas menawarkan drama hingga pada bab …. Kunci jawaban pat bahasa indonesia kelas 11 2020;

Penggalan obrolan di atas menawarkan drama hingga pada bab …. Kunci jawaban pat bahasa indonesia kelas 11 2020; Pembahasan soal pilihan ganda bahasa indonesia kelas xi semester 2 kurikulum 2013 beserta jawabannya ada sekitar 40 contoh soal pg bahasa . Materi yang diambil meliputi soal bahasa indonesia tentang proposal dan juga karya tulis (bab 1 dan bab 2). Indonesia kelas 11 semester genap dengan kurikulum 2013.

Kalimat saran yang tepat dan santun untuk masukan proposal adalah …. Warta Urang Galuh Materi Kelas Xi Proposal
Warta Urang Galuh Materi Kelas Xi Proposal from lh4.googleusercontent.com
Indonesia kelas 11 semester genap dengan kurikulum 2013. Hal yang tidak termasuk isi proposal ialah …. Indonesia kelas 11 semester genap k13 edisi revisi mulai dari soal tentang mempersiapkan proposal bab 1 sampai dengan soal tentang merancang . Sebut dan jelaskan 3 hal persyaratan yang harus diperhatikan untuk menghasilkan proposal penelitian yang baik! Kalimat saran yang tepat dan santun untuk masukan proposal adalah …. Soal uas bahasa indonesia kelas 11 semester 2 tentang proposal; Materi yang diambil meliputi soal bahasa indonesia tentang proposal dan juga karya tulis (bab 1 dan bab 2). Kunci jawaban pat bahasa indonesia kelas 11 2020;

Pembahasan soal pilihan ganda bahasa indonesia kelas xi semester 2 kurikulum 2013 beserta jawabannya ada sekitar 40 contoh soal pg bahasa .

Merancang proposal/modul bahasa indonesia/kelas xi wajib. Materi yang diambil meliputi soal bahasa indonesia tentang proposal dan juga karya tulis (bab 1 dan bab 2). Anggaran biaya dalam proposal berisi…. Kunci jawaban pat bahasa indonesia kelas 11 2020; Soal uas bahasa indonesia kelas 11 semester 2 tentang proposal; Soal, lembar kerja, soal latihan dan soal evaluasi praktik menulis. Hal yang tidak termasuk isi proposal ialah …. Kalimat saran yang tepat dan santun untuk masukan proposal adalah …. Pembahasan soal pilihan ganda bahasa indonesia kelas xi semester 2 kurikulum 2013 beserta jawabannya ada sekitar 40 contoh soal pg bahasa . Saya tidak setuju dengan alokasi dana dokumentasi. Indonesia kelas 11 semester genap dengan kurikulum 2013. Penggalan obrolan di atas menawarkan drama hingga pada bab …. Sebut dan jelaskan 3 hal persyaratan yang harus diperhatikan untuk menghasilkan proposal penelitian yang baik!

Latihan Soal Bahasa Indonesia Bab Proposal Kelas 11 Semester 2 / 2 : Pembahasan soal pilihan ganda bahasa indonesia kelas xi semester 2 kurikulum 2013 beserta jawabannya ada sekitar 40 contoh soal pg bahasa .. Anggaran biaya dalam proposal berisi…. Penggalan obrolan di atas menawarkan drama hingga pada bab …. Sebut dan jelaskan 3 hal persyaratan yang harus diperhatikan untuk menghasilkan proposal penelitian yang baik! Indonesia kelas 11 semester genap dengan kurikulum 2013. Hal yang tidak termasuk isi proposal ialah ….

Posting Komentar untuk "Latihan Soal Bahasa Indonesia Bab Proposal Kelas 11 Semester 2 / 2 : Pembahasan soal pilihan ganda bahasa indonesia kelas xi semester 2 kurikulum 2013 beserta jawabannya ada sekitar 40 contoh soal pg bahasa ."